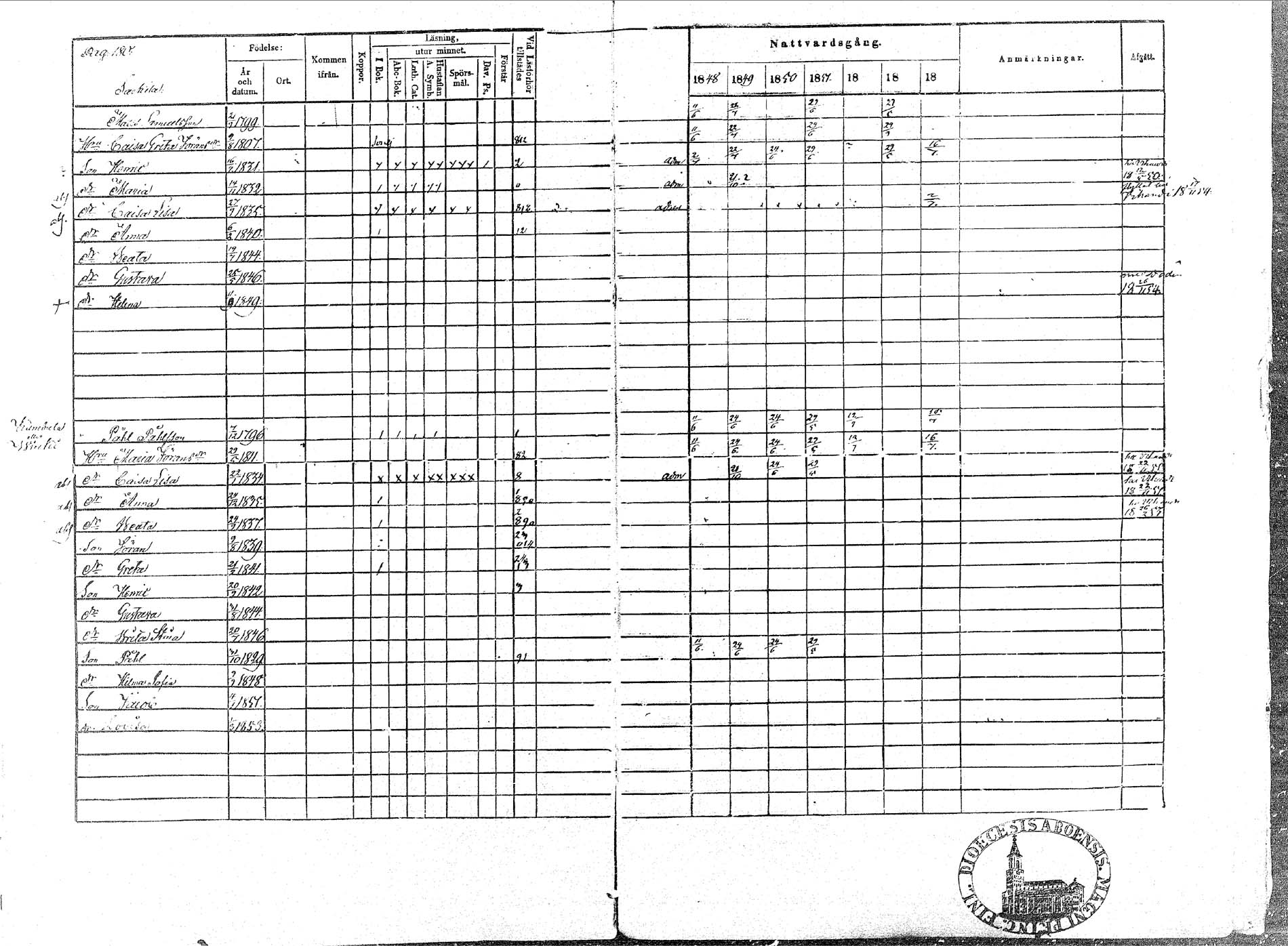
Oulainen , Rippikirja, 1848-1854 MKO81-89 Kuva 180 Edellinen Seuraava

[ kuvat/180.jpg ]