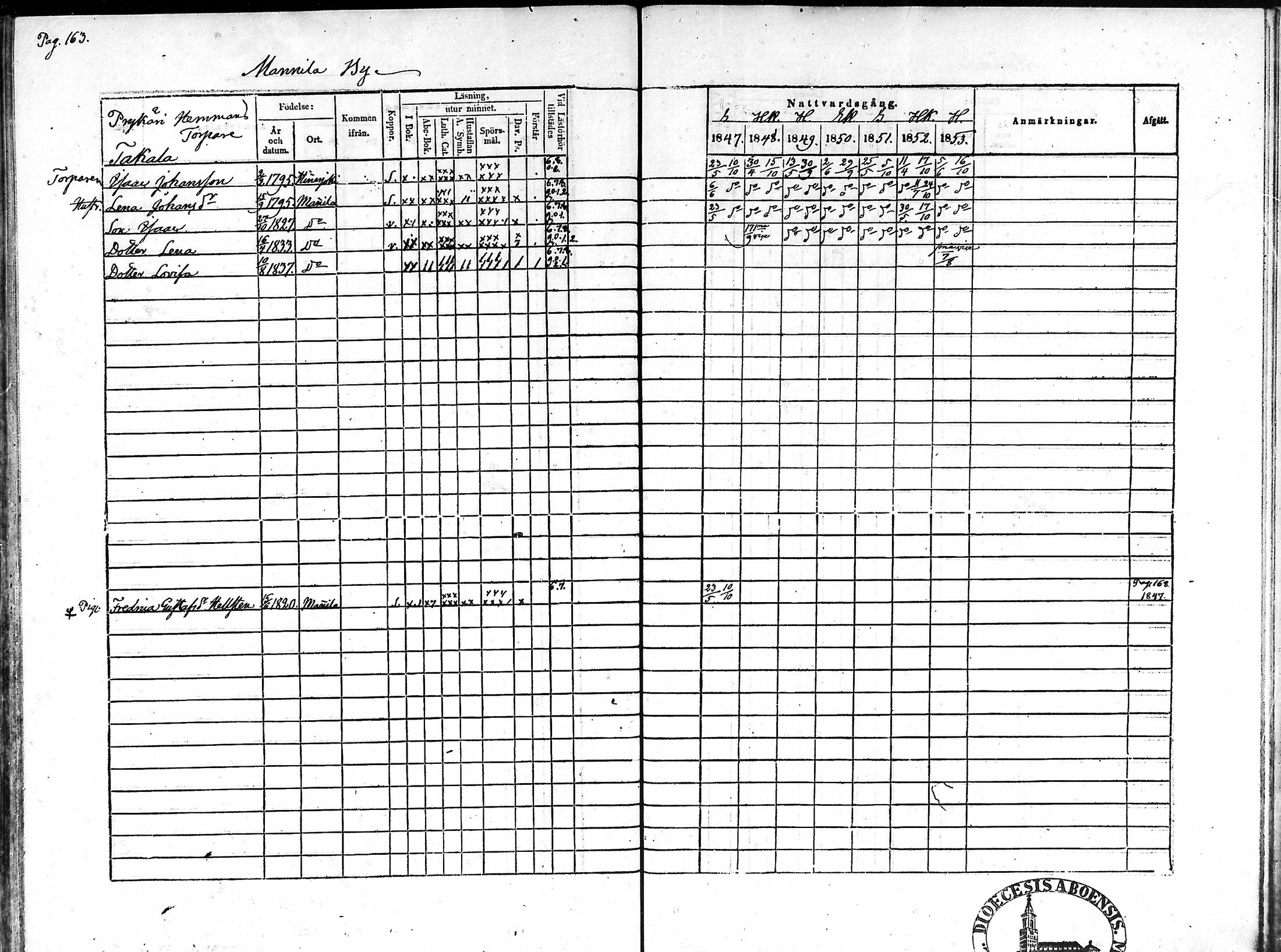
Honkilahti , Rippikirja, 1847-1853 MKO7-12 Kuva 157 Edellinen Seuraava

[ kuvat/157.jpg ]